New Letter published
[ physics ]

Last month a letter I wrote with Jo Dudek and Robert Edwards was published in Physical Review Letters under the title “η and η′ Production in J/ψ Radiative Decays from Quantum Chromodynamics”. This covers the research I worked on during my time at the College of William & Mary and Jefferson Lab in the US. A more detailed description of the method is presented in the accompanying paper published in Physical Review D “η and η′ meson production in J/ψ radiative decays from lattice QCD”.

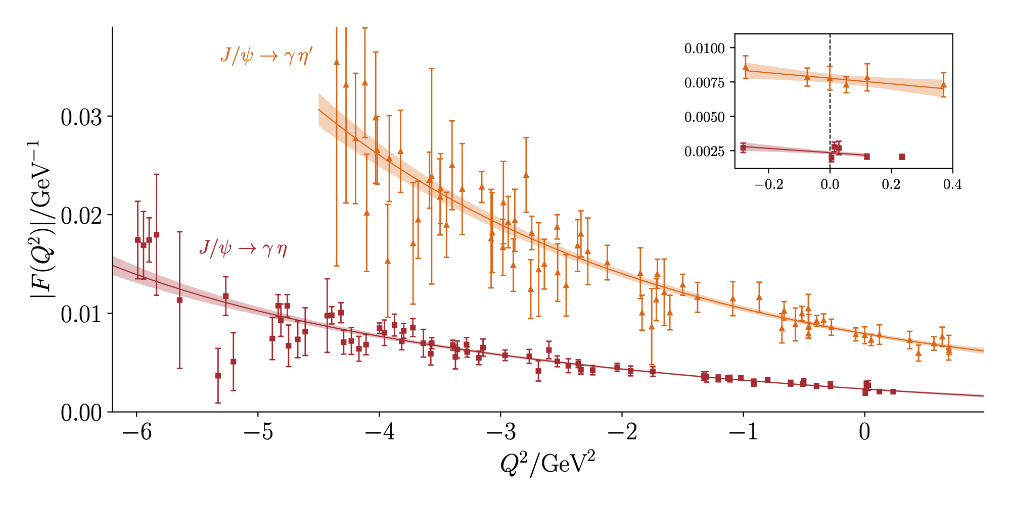
In this letter we show the results of the first calculation of the radiative decays $J/\psi$ to $\gamma \eta$ and $\gamma \eta’$ from first principles. The results from the calculation can be seen in the figure below where we have shown the transition form factor as a function of momentum transfer for both radiative decays. Fig1 To enable this calculation we developed some new technology which exploited the exact symmetries of the lattice to average over various momentum combinations.